WAPPS-Hemo welcomes the new Altuviiio population pharmacokinetic (PK) model to the platform!
We are thrilled to introduce the latest Altuviiio model on the WAPPS-Hemo platform. This model integrates data from 304 patients, combining data from industry-sponsored clinical studies and WAPPS-Hemo users. Covering a broad demographic—ranging from infants as young as 3 months to adults up to 72 years old—it is designed to enhance individualized patient care.
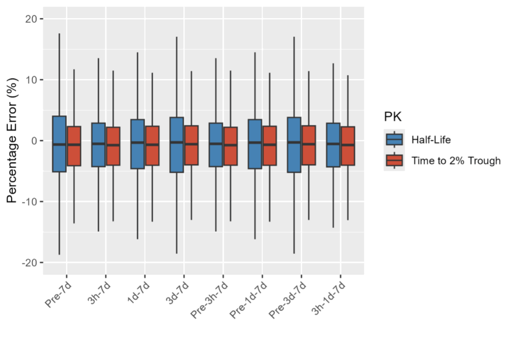
Built upon a robust dataset of 2,547 one-stage factor activities, the model demonstrates exceptional precision and minimal bias in estimating terminal half-life and time to 2% (see figure). Clinicians can confidently rely on this model for individualized pharmacokinetic assessments and leverage the clinical calculator to optimize dose regimen design.
